+10 °С
Облачно


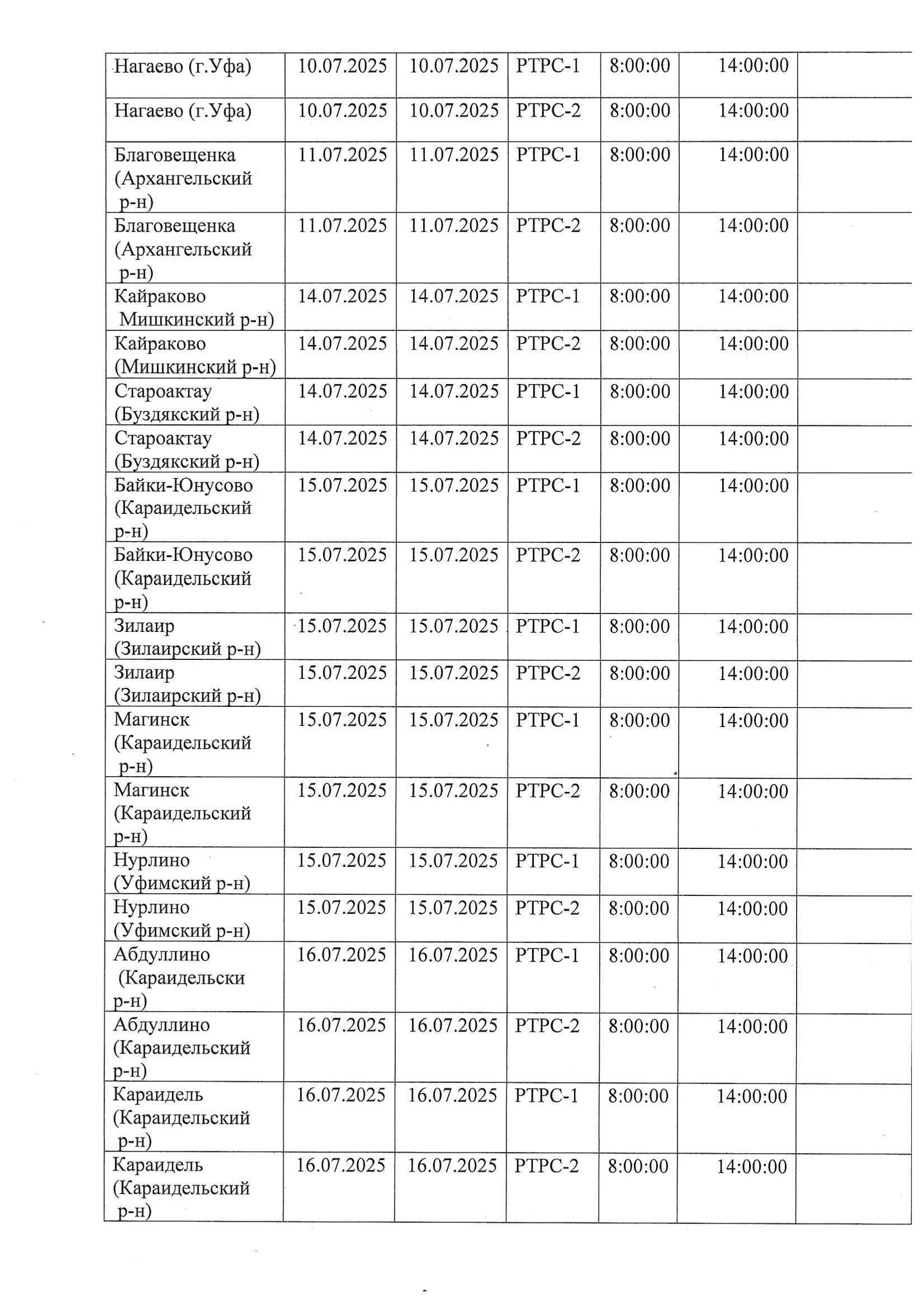
Теле- и радиоканалы первого и второго мультиплексов (РТРС-1 и РТРС-2) станут временно недоступны для жителей Башкирии с 7 по 31 июля. Это связано с профилактическими работами, сообщает пресс-служба Российской телевизионной и радиовещательной сети.
Время отключения трансляции в каждом из населенных пунктов составит от шести до девяти часов. С графиком отключения можно ознакомиться ниже.
Фото автора.